• Предмет: Математика
  • Автор: tamerlanakkuskarov09
  • Вопрос задан 3 года назад

Я НЕ МОГУ РЕШИТЬ ВЫРАЖЕНИЕ!
ПОМОГИТЕ!!!

ДАЮ 15 БАЛЛОВ
ПОЖАЛУЙСТА!!
ЕСЛИ С ОБЪЯСНЕНИЕМ,ТО ДАМ БОЛЬШЕ БАЛЛОВ!!!​

Приложения:

Ответы

Ответ дал: Tusky
0

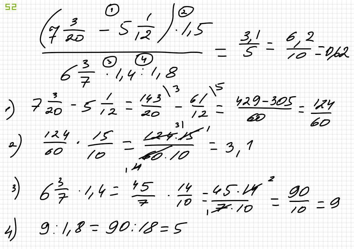
Ответ:

0,62

Пошаговое объяснение:

На скрине

Приложения:
Ответ дал: Vladeeer
0

Пошаговое объяснение:

\frac{(\frac{143}{20} - \frac{61}{12} ) * \frac{3}{2} }{\frac{45}{7} * \frac{7}{5} : \frac{9}{5} } \\\\= \frac{\frac{31}{15}*\frac{3}{2} }{9 * \frac{5}{9} } \\\\= \frac{31}{50}

Вас заинтересует