Ответы
Ответ дал:
1
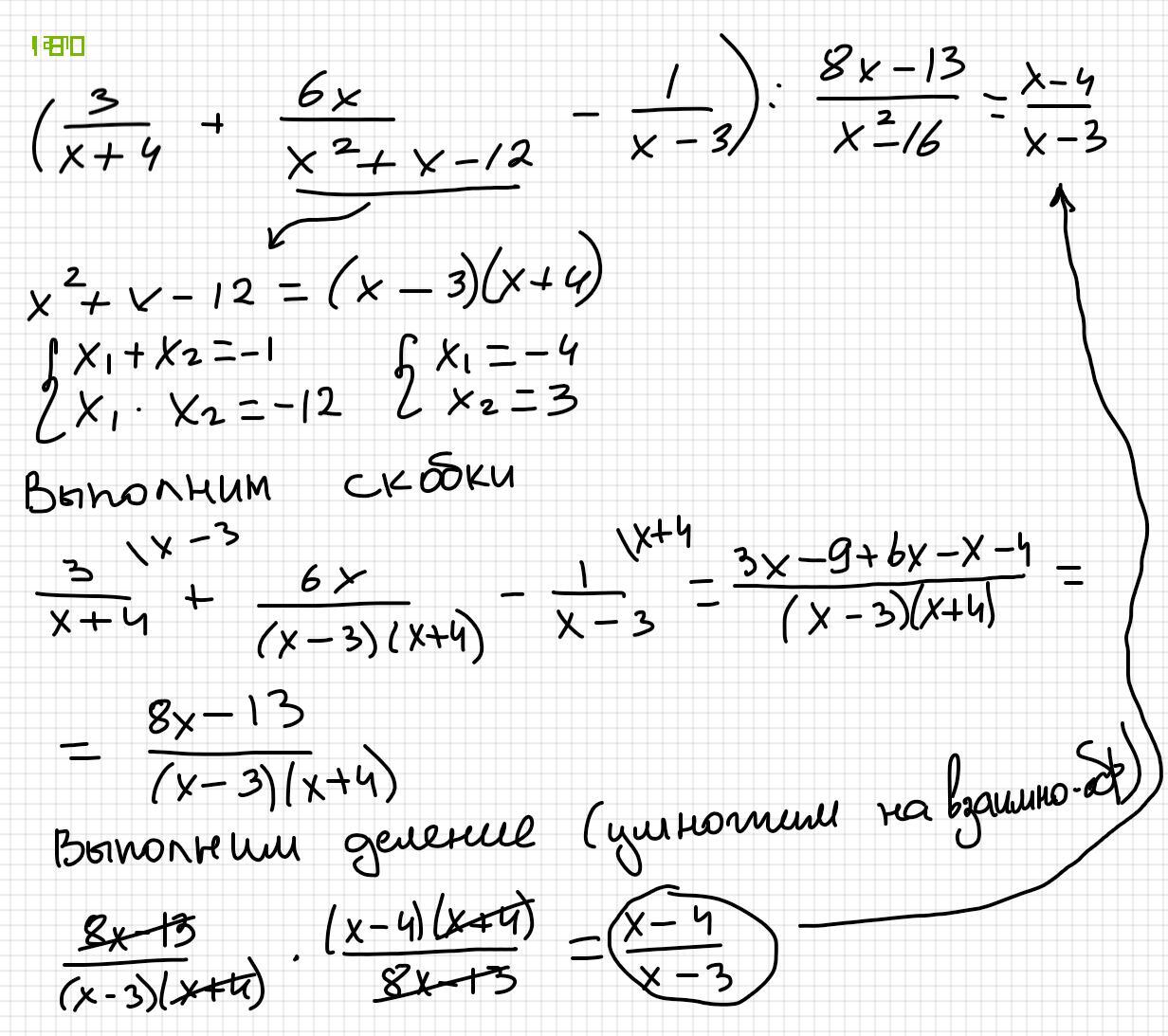
Ответ:
Объяснение:
на скрине
Приложения:

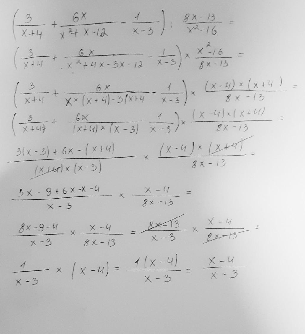
Ответ дал:
1
Объяснение:
на фотографии........
Приложения:

Вас заинтересует
2 года назад
2 года назад
2 года назад
8 лет назад
9 лет назад
9 лет назад