• Предмет: Химия
  • Автор: Аноним
  • Вопрос задан 3 года назад

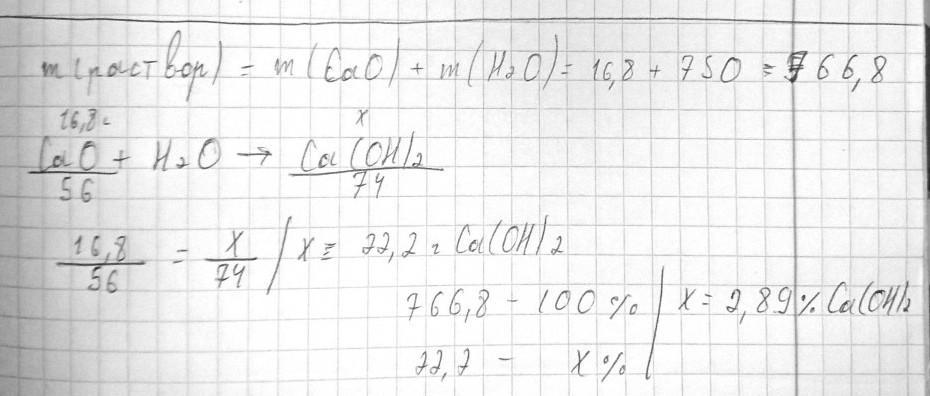
Порцію негашеного вапна CaO масою 16,8 г розчинили в 750 г води.
Яка масова частка (%) Ca(OH)2 в утвореному розчині?

Ответы

Ответ дал: Zikriolloh
10

Ответ:

2.89%Ca(OH)2

------------/смотри ниже /

подписаться не забудь

Приложения:

Аноним: спасибо)
sofiyredmi6: А можно пожалуйста ещё "Дано" и "Узнать"
Вас заинтересует