• Предмет: Алгебра
  • Автор: kirabusygina
  • Вопрос задан 3 года назад

Пожалуйста помогите! Это очень срочно!!! Нужно решить а и б​

Приложения:

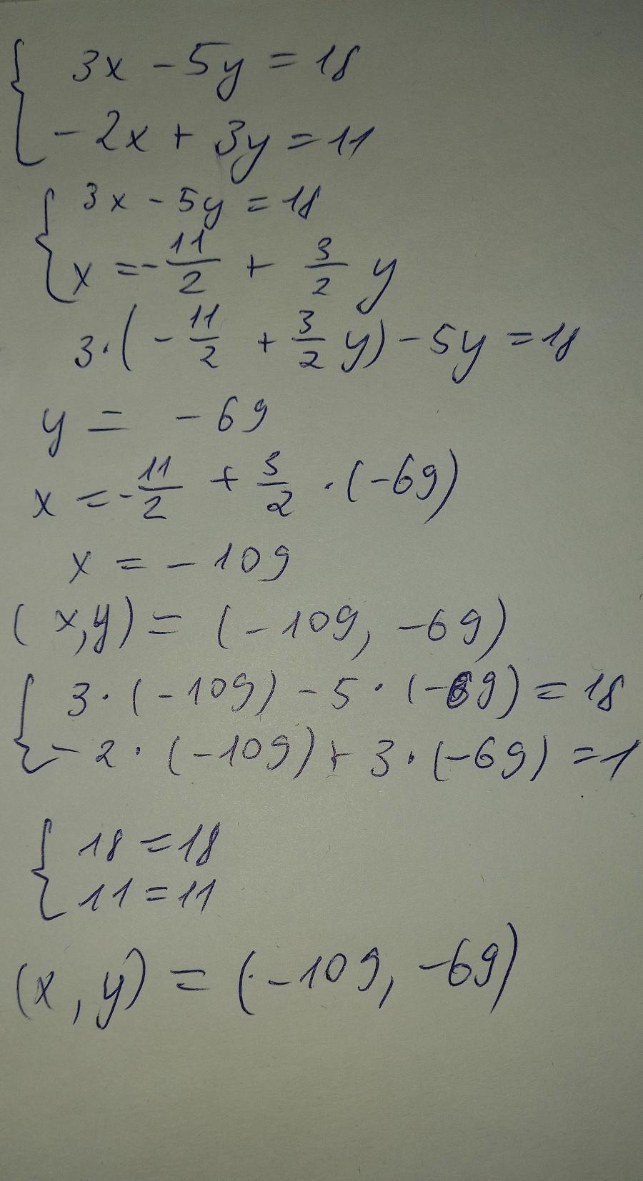
Ответы

Ответ дал: Полина01234
1

Объяснение:

Все в листе

Приложения:
Ответ дал: lizalempp
1

Ответ:

как-то так, надеюсь помогла

Приложения:
Вас заинтересует