• Предмет: Алгебра
  • Автор: cttfuvuvyctxzt
  • Вопрос задан 3 года назад

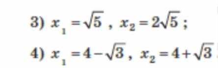
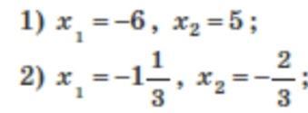
Пользуясь теоремой Виета, составьте квадратное уравнение с целыми коэффициентами, если известны корни х1 и х2

Приложения:

Ответы

Ответ дал: mrxo
0

Объяснение:

Остальное с целыми коэффициентами составить не получится

Приложения:
Вас заинтересует