• Предмет: Математика
  • Автор: DenysNaDroti
  • Вопрос задан 3 года назад

Найти критические точки функции

Приложения:

Ответы

Ответ дал: mathkot
1

Ответ:

x_{1} = -2; x_{2} = 2;

Пошаговое объяснение:

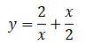
y = \frac{2}{x} + \frac{x}{2}

y^{'} = -\frac{2}{x^{2} } + 0,5

y^{'} = 0;

-\frac{2}{x^{2} } + 0,5 = 0; ОДЗ: x \neq 0, x є R.

-\frac{2}{x^{2} } = -0,5 | *(-1)

\frac{2}{x^{2} } = 0,5| *(2x^{2} )

4 = x^{2}

|x| = 2

Критические точки:

x_{1} = -2; x_{2} = 2;

Вас заинтересует