Ответы
Ответ дал:
1
По формулам
Квадрат суммы
Сумма квадратов
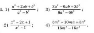
1) (a+b)^2/(a-b)^2
2)(x-1)^2/(x-1)^2
3) 3 выносим за скобку и получаем разность квадратов 3(a-b)^2/3(a-b)^2
4) точно так же
Выносишь 5 за скобку и преображаешь это в формулы квадратов
Квадрат суммы
Сумма квадратов
1) (a+b)^2/(a-b)^2
2)(x-1)^2/(x-1)^2
3) 3 выносим за скобку и получаем разность квадратов 3(a-b)^2/3(a-b)^2
4) точно так же
Выносишь 5 за скобку и преображаешь это в формулы квадратов
antonalimoff007:
Так а что сложного
Я пытаюсь понятт но трудно
Решение
Формула есть
Преобразовываешь своё выражение в формулу
Сокращаешь и в е
Формула есть
Преобразовываешь своё выражение в формулу
Сокращаешь и в е
Там во втором нету разных букв и нет такой формулы
Я ради этого и задал вопрос
Есть
Опечатка просто
Там же кварат разности во всех?
Квадрат точнее
Во 2 напиши ответ
Х-1/х+1
Х-1/х+1
Вас заинтересует
2 года назад
3 года назад
3 года назад
8 лет назад