• Предмет: Алгебра
  • Автор: Korgi480
  • Вопрос задан 3 года назад

Даю баллы и так далее
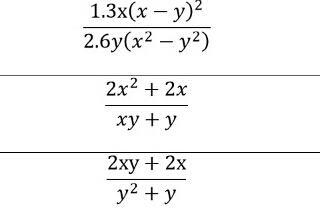
Сократите алгебраические дроби

Приложения:

Ответы

Ответ дал: tatsach
1

Ответ:

Объяснение:

................. .

Приложения:
Вас заинтересует