решите уравнение
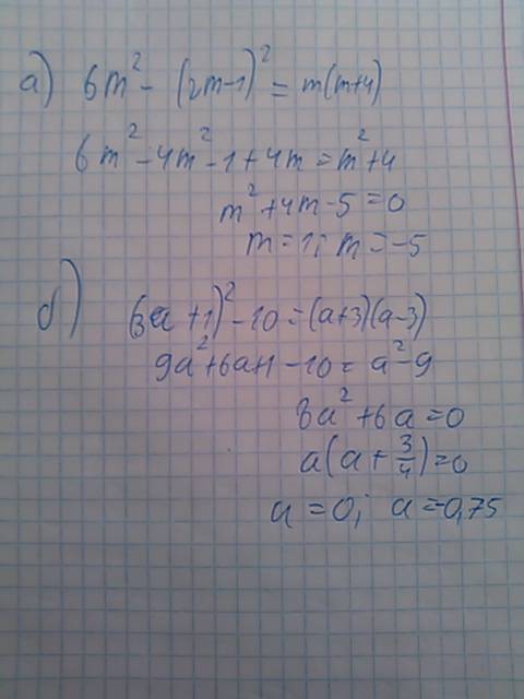
а)6m во второй степени -(2m - 1)во второй степени=m(m+4)
б)(3a +1)во второй степени - 10=(а+3)(а-3)
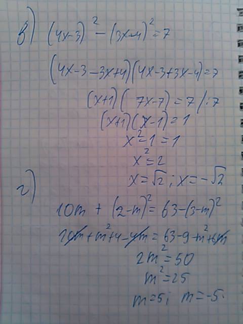
в)(4х-3)во второй степени-(3x -4)во второй степени =7
г)10m + (2-m)во второй степени=63-(3-m)во второй степени
д)(2p+3)во второй степени+(2p-3)во второй степени(p-6)(p+6)=p во второй степение)(х+4)(х+3)+(х-2)(х+2)=2(3х+4)
Ответы
Ответ дал:
0
============================
Приложения:

Ответ дал:
0
решение на фото, сейчас все выложу
Приложения:




Вас заинтересует
8 лет назад
8 лет назад
10 лет назад