ПомогитеПЖСРОЧНО
Найдите сумму первых n членов арифметической прогресии,зная,что:
5)a^1=-2,5,d=2,5,n=20;
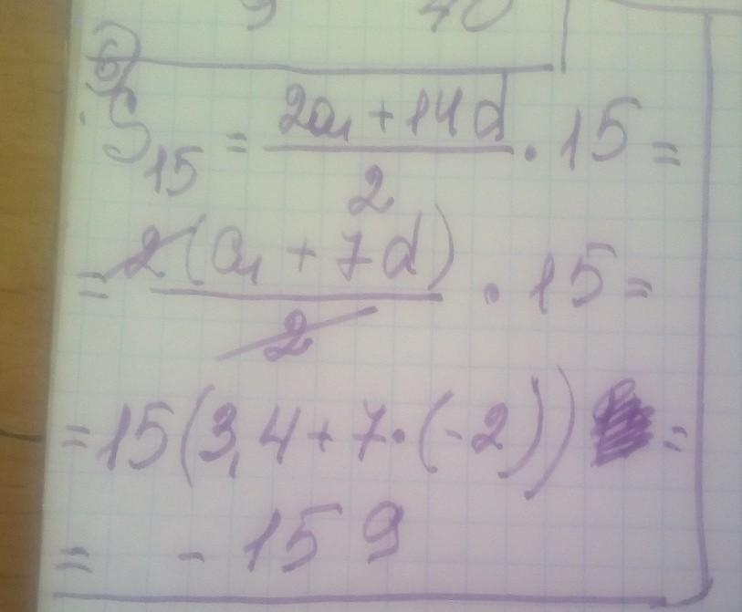
6)a^1=3,4,d=-2,n=15;
Ответы
Ответ дал:
0
Ответ:
решение смотри на фотографии
Приложения:


Вас заинтересует
2 года назад
2 года назад
2 года назад
2 года назад
8 лет назад
8 лет назад
9 лет назад