Найдите наименьшее и наибольшее значение функции на промежутках
51.8.
1) f(x)=2x^2-5x+6,[-2;4]
2) f(x)=-3x^2-x+5,[0;3]
51.9.
1) f(x)=x^3+8,[-3;-1]
2)f(x)=-x^3+27,[-2;2]
Помогите пожалуйста
Ответы
Ответ дал:
1
Ответ:
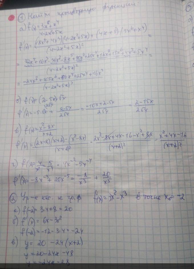
Решение на фоте
Приложения:


Вас заинтересует
2 года назад
2 года назад
2 года назад
2 года назад
8 лет назад