• Предмет: Математика
  • Автор: Pikachu229
  • Вопрос задан 3 года назад

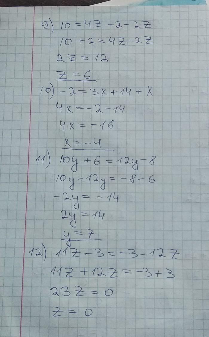
Нужно решить уравнения! даю 35 баллов
Кто может распишите пожалуйста

Приложения:

Ответы

Ответ дал: jana267899
0

Ответ:

решение на фото.

Пошаговое объяснение:

................

Приложения:
Ответ дал: dashulyvlasenko23
0

Ответ:

Ответ прикрипила........

Приложения:
Вас заинтересует