• Предмет: Алгебра
  • Автор: aslan2000031
  • Вопрос задан 3 года назад

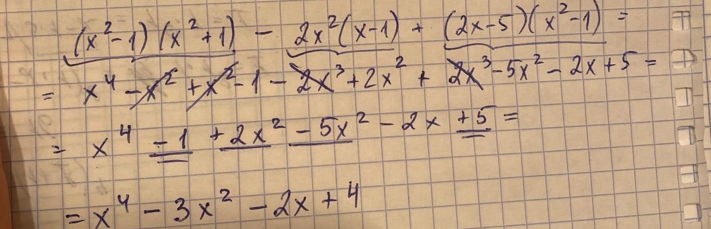
Преобразуйте выражение, чтобы получить многочлен в стандартном виде (необходимо указывать все промежуточные преобразования). Укажите степень полученного многочлена.

(х^2 − 1)(х^2 + 1) − 2х^2(х − 1)+(2х − 5)(х^2 − 1)

Ответы

Ответ дал: mistormeduza
2

Ответ:

на рисунке.....................................

Приложения:

mistormeduza: зделай лучьшим плиз
Вас заинтересует