• Предмет: Алгебра
  • Автор: artemshepcam1
  • Вопрос задан 3 года назад

решите эти уравнения по теореме виета
7x² - 22x + 3 = 0
7x² - 6x + 2 = 0
4x² + 12x + 9 = 0

Ответы

Ответ дал: Vera2988
1

Ответ:

Это на 100 процентов правильно, мне токоеже задавали и я получила 5 ♡

Приложения:
Ответ дал: Vopoxov
1

Объяснение:

Первое уравнение

7x^{2}  - 22x + 3  = 0\\  {x}^{2}  -  \frac{22}{7} x + 3 = 0 \\  \begin{cases} x_{1} + x_{2}  =  - ( -  \frac{22}{7} ) = 3 \frac{1}{7}  \\ x_{1}  \times x_{2} =  \frac{3}{7}  \end{cases} =  > \\  =  >  \begin{cases} x_{1} + x_{2}  = 3 +  \frac{1}{7}  \\ x_{1}  \times x_{2} = 3 \times  \frac{1}{7}  \end{cases} =  > \begin{cases} x_{1}   =   3  \\ x_{2} =  \frac{1}{7}  \end{cases}

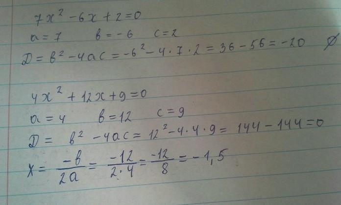
Второе уравнение корней не имеет

D = b² - 4ac = (-6)² - 4•7•2 = 36-56 = - 20

Третье уравнение:

4x^{2}   + 12x + 9  = 0\\  {x}^{2}    + \frac{12}{4} x   +  \frac{9}{4} = 0\\  {x}^{2}    + 3 x   +  \frac{9}{4} = 0 \\  \begin{cases} x_{1} + x_{2}  =  - 3\\ x_{1}  \times x_{2} =  \frac{9}{4}  \end{cases} =  > \\  =  >  \begin{cases} x_{1} + x_{2}  = ( - \frac{3}{2} )  +  ( - \frac{3}{2})  \\ x_{1}  \times x_{2} =  \frac{3^{2} }{ {2}^{2} }  =  (- \frac{3 }{ {2} } )\times ( -  \frac{3 }{ {2} }) \end{cases} =  > \\ =  >  x_{1}   =  x_{2} =   - \frac{3}{2}   =  - 1.5

Вас заинтересует