• Предмет: Алгебра
  • Автор: Аноним
  • Вопрос задан 10 лет назад

ПОМОГИТЕ РЕШИТЬ
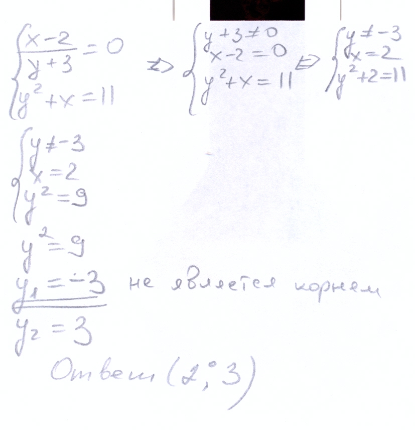
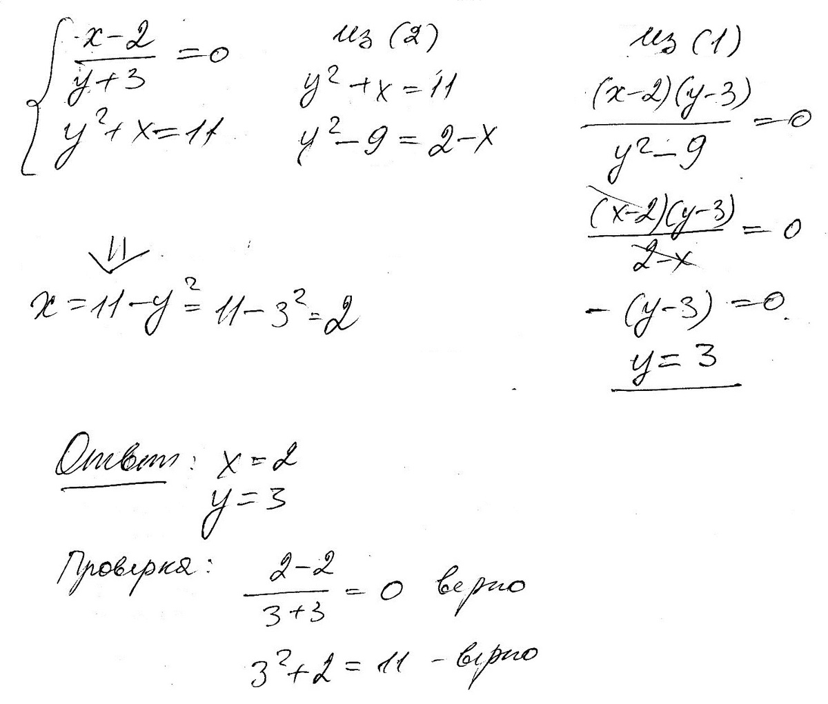
 left { {{ frac{x-2}{y+3}=0 } atop {y^{2}+x=11 }} right.

Ответы

Ответ дал: Vladislav006
0
Решение смотри ниже в приложении

Приложения:
Ответ дал: Yena
0
.............................
Приложения:
Ответ дал: Аноним
0
ОГРОМНОЕ СПАСИБО)))))
Вас заинтересует