• Предмет: Математика
  • Автор: ilzinamadieva
  • Вопрос задан 3 года назад

даны функции y=8/5x+3 найдите зна

Ответы

Ответ дал: faceitjerans
0

Ответ:

значення функції?

якщо так:

Пошаговое объяснение:

!= не дорівнює

5х+3!=0

5х!=-3

х!=-3/5

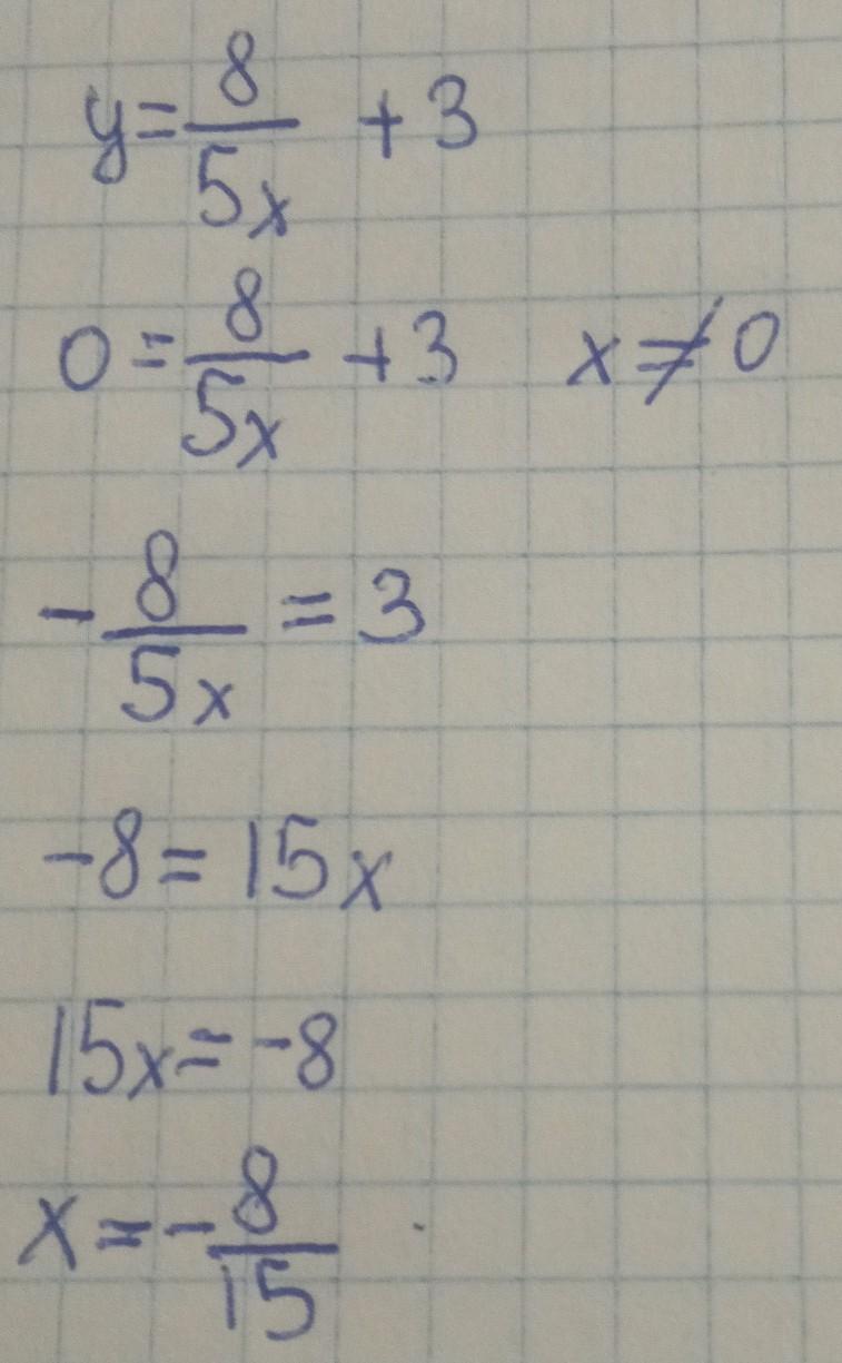
Ответ дал: molosofia2
0

Ответ:

Вот фото

Надеюсь помогла)

Приложения:
Вас заинтересует