• Предмет: Алгебра
  • Автор: 730346845454
  • Вопрос задан 3 года назад

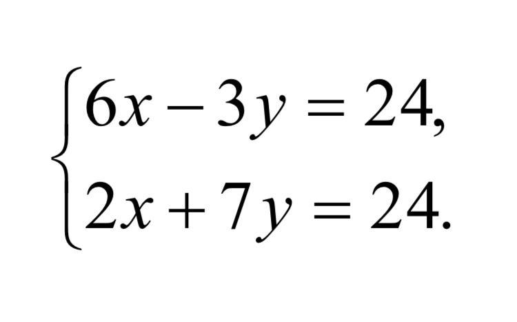
Розв’язати систему рівнянь способом додавання:

Приложения:

annpetr200544: 6х-3у=24 + 2х+7у=24 = 8х +4у=48

Ответы

Ответ дал: annpetr200544
4

{6х-3у=24|÷3 {2х-у=8. {-у=8-2х|×(-1)

{2х+7у=24. {2х+7у=24.{2х+7у=24.

{у=2х-8. {у=2×5-8 {у=2

{2х+7(2х-8)=24. {х=5. {х=5.

2х+14х-56=24

16х=24+56

16х=80|÷16

Х=5

Вас заинтересует