• Предмет: Алгебра
  • Автор: Bryhh
  • Вопрос задан 3 года назад

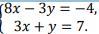
Способом алгебраического сложения решить систему уравнений

Приложения:

Ответы

Ответ дал: JUMAYSYNBA
0

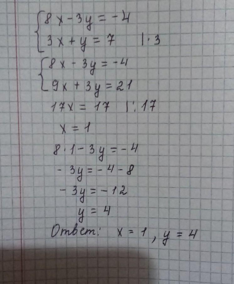
Ответ:

Извини сначала не тот пример тебе перекинул

Приложения:
Вас заинтересует