• Предмет: Алгебра
  • Автор: Bryhh
  • Вопрос задан 3 года назад

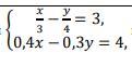
Верно ли утверждение, что система уравнений не имеет решений?

Приложения:

Ответы

Ответ дал: Gorgona11
1

Ответ:

Система не имеет решений, т.к. x=0 и y=0

Объяснение:

\left \{ {\frac{x}{3}-\frac{y}{4}=3 [*12   \atop {0.4x-0.3y=4 [*-10\right. \left \{ {{4x-3y=36} \atop {-4x+3y=-40}} \right. x=0; y=0

Вас заинтересует