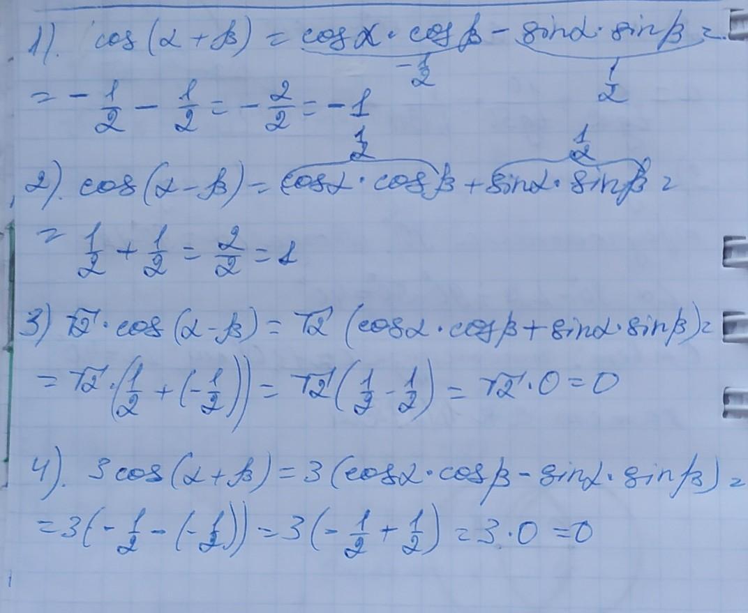
3) корень2• cos(a-B),если cosa•cosB=1/2 и sina•sinB=-1/2
4)3cos(a+B),если cosa•cosB=-1/2 и sina•sinB=-1/2
a-альфа
B-бетта
Желательно в тетраде пожалуйста заранее спасибо.
Приложения:

Ответы
Ответ дал:
3
Необходимые формулы и решение на фотографии
Приложения:

life092:
там еще внизу 3 4
Ответ дал:
5
Объяснение:
решение на фото на фото на фото
Приложения:

Вас заинтересует
2 года назад
2 года назад
2 года назад
8 лет назад
9 лет назад