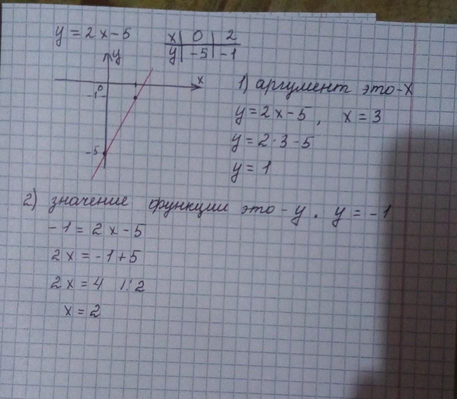
Постройте график функции у= 2х-5. Пользуясь графиком, найдите:
1) значение функции, если значение аргумента равно 3
2) значение аргумента, при котором значение функции равно -1
Ответы
Ответ дал:
65
Объяснение:
Думаю что все понятно написал.
Приложения:

Ответ дал:
8
Ответ:
График функции смотри на фото.
1) при x = 3, y = 2 * 3 - 5 = 6 - 5 = 1
Ответ: y = 1
2) при y = -1,
-1 = 2x - 5
2x - 5 = -1
2x = 4
x = 2
Ответ: x = 2
Объяснение:
Приложения:

Вас заинтересует
2 года назад
2 года назад
2 года назад
2 года назад
8 лет назад
8 лет назад