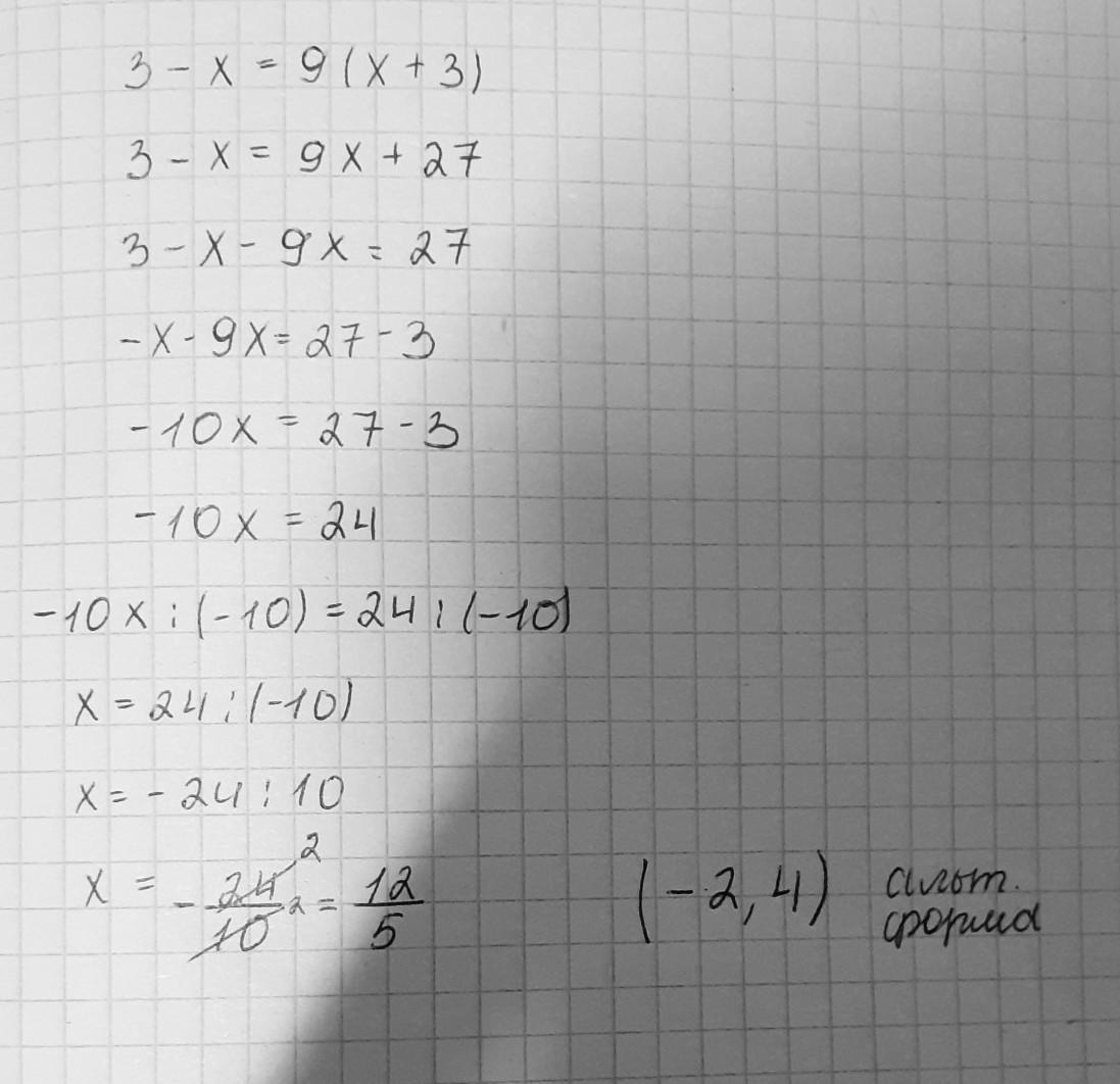
решить премер. 3-х=9(х+3)
срочно только пожалуйста можно не сам ответ а именно решение
finora:
не за что ,рада помочь
Ответы
Ответ дал:
1
решение на фотографии......
Приложения:

Вас заинтересует
2 года назад
2 года назад
2 года назад
2 года назад
8 лет назад
9 лет назад