• Предмет: Математика
  • Автор: kozhov2
  • Вопрос задан 3 года назад

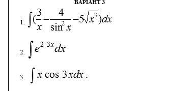
Помогите пожалуйста с интегралами даю 25 балов буду очень благодарен

Приложения:

Ответы

Ответ дал: zveryakovanata
1

Ответ:

Пошаговое объяснение:

Приложения:
Вас заинтересует