• Предмет: Алгебра
  • Автор: borodenkon57
  • Вопрос задан 3 года назад

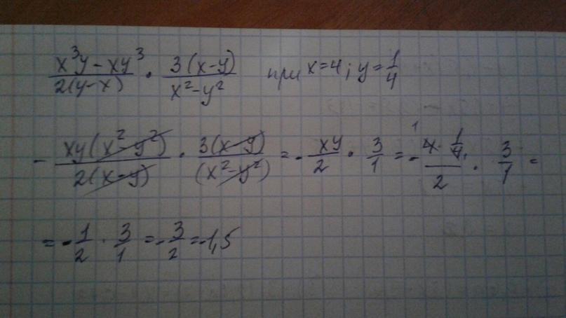
Помогите пожалуйста.
Только решением а не словами

Приложения:

JeinTyan: 5-7 минут подождешь? я решу на листике и прикреплю решение в ответе?
borodenkon57: Ок, тока по быстрому
JeinTyan: Ответ готов
borodenkon57: Я видел
borodenkon57: Кстати, тебя как зовут?
JeinTyan: Это не важно)

Ответы

Ответ дал: JeinTyan
0

Ответ:

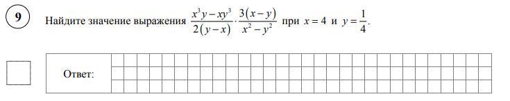
Держи, на фото

Объяснение:

Приложения:
Вас заинтересует