• Предмет: Алгебра
  • Автор: borodenkon57
  • Вопрос задан 3 года назад

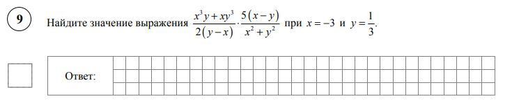
Найдите значение выражения ( )

( ) 3 3

2 2

5

2

x y xy x y

yx x y

+ − ⋅ − +

при x = −3 и

1

.

Приложения:

Ответы

Ответ дал: Аноним
9

(ху*(х²+у²)*5*(х-у))/(-2*(х-у)*(х²+у²))=-5ху/2

при х=-3; у=1/3

-5ху/2=-5*(-3)*(1/3)/2=5/2=2.5


Инесса309: -5*4*(1/4)/2
Вас заинтересует