• Предмет: Алгебра
  • Автор: polin252
  • Вопрос задан 3 года назад

Прошу пожалуйста помогите !

Приложения:

Ответы

Ответ дал: Miroslava227
1

Ответ:

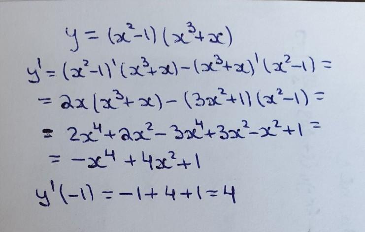
решение на фотографии.

Приложения:
Вас заинтересует