• Предмет: Алгебра
  • Автор: gulirashambetalieva
  • Вопрос задан 3 года назад

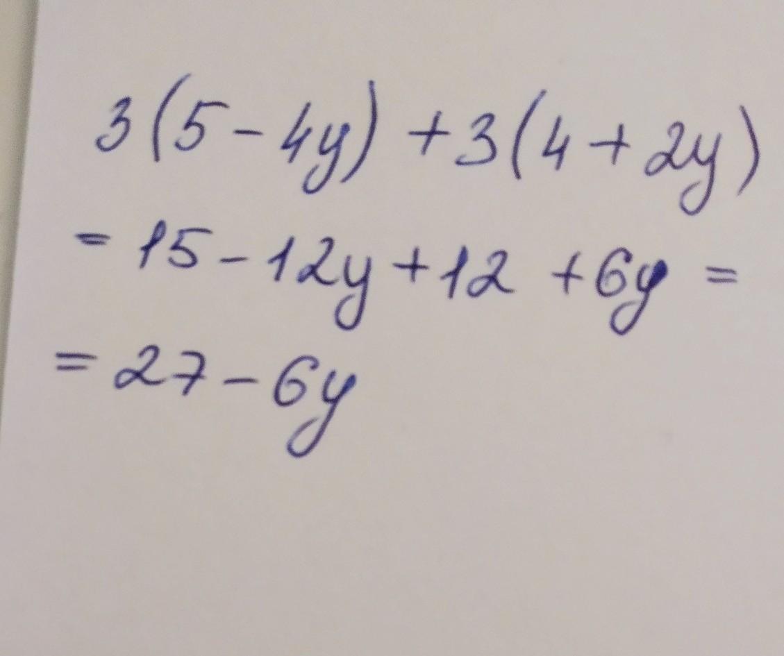
3(5-4у)+3(4+2у)=
Помагиииитеееее


gulirashambetalieva: 3(5-4у)+3(4+2у)=

Ответы

Ответ дал: mariia127
1

а теперь набираем 20 символов.

Приложения:
Ответ дал: sasha56834
2

Объяснение:

Спрощення виразу:

3(5-4у)+3(4+2у)=15-12у+12+6у=27-6у

Розкладеня на множники :

3(5-4у)+3(4+2у)=3(5-4у+4+2у)=3(9-2у)

Вас заинтересует