• Предмет: Геометрия
  • Автор: istamjon2018n
  • Вопрос задан 3 года назад

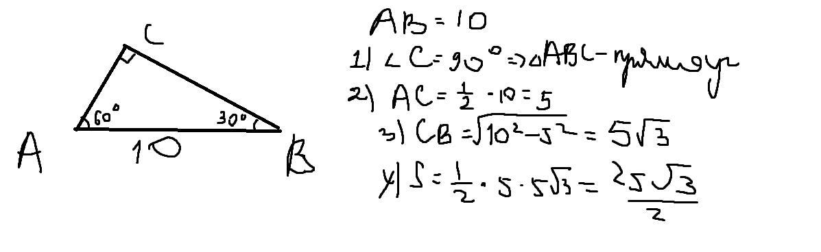
Длина одной стороны треугольника равна 10, а углы, прилегающие к этой стороне, составляют 60 ° и 30 °. Вычислите площадь треугольника.

Ответы

Ответ дал: emir05051
1

Ответ:

Объяснение:Во вложении

Приложения:
Ответ дал: Nangw
1

Решение:

1) ∠С=180°-(60°+30°)=180°-90°=30°

2) АС=10/2=5 ( против угла в 30° )

3) SΔ=1/2 * a * b * sinα = 1/2 * 5 * 10 * sin60°=25*sin60°=25*√3/2

Ответ: (25√3)/2

Приложения:
Вас заинтересует