• Предмет: Алгебра
  • Автор: aleksandramihajlova6
  • Вопрос задан 3 года назад

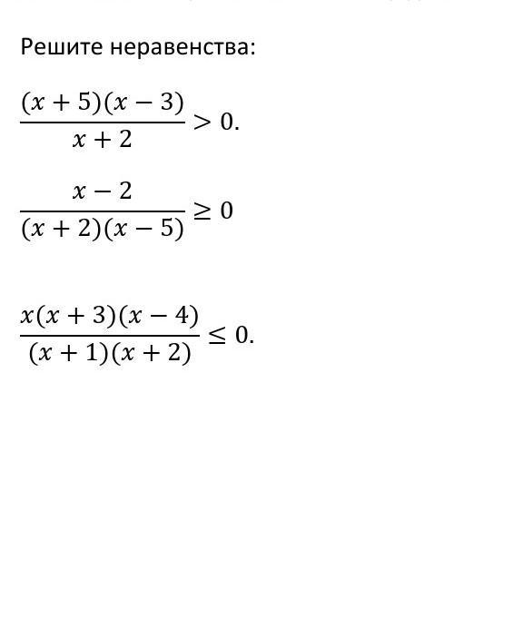
Помогите пожалуйста, очень нужноо ​

Приложения:

Ответы

Ответ дал: oksanadorosheva0
1

Объяснение:

Тринидад орощлтшшлтиршиошошр

Приложения:
Вас заинтересует