• Предмет: Алгебра
  • Автор: PICPRO
  • Вопрос задан 3 года назад

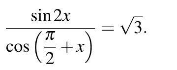
Решить тригонометрческие уравнения на фото

Приложения:

Ответы

Ответ дал: QDominus
1

 \sin(x) (2 \sin(x)  - 3 \cot(x) ) = 3

ОДЗ:

 \sin(x)  \ne 0 \\ x \ne  \pi s

2 \sin {}^{2} (x) - 3 \sin(x)  \frac{ \cos(x) }{ \sin(x) }  = 3 \\ 2(1 -  \cos {}^{2} (x) ) - 3 \cos(x)  - 3 = 0 \\  - 2 \cos {}^{2} (x)  - 3 \cos(x)  - 1 = 0 \\ 2 \cos {}^{2} (x)  + 3 \cos(x)  + 1 = 0 \\ \left[ \begin{gathered}  \cos(x)  =  - 1 \\  \cos(x)  =  -  \frac{1}{2}  \end{gathered} \right. \\ \left[ \begin{gathered} x = \pi + 2\pi n \\ x =  \frac{2\pi}{3}  + 2\pi m \\ x =  \frac{4\pi}{3} + 2\pi k  \end{gathered} \right.

Так как точки типа \pi s не входят в ОДЗ, то первый корень не есть решение. Тогда ответом есть:

\left[ \begin{gathered} x =  \frac{2\pi}{3}  + 2\pi m \\ x =  \frac{4\pi}{3} + 2\pi k  \end{gathered} \right.

2. Второе задание уже решено (см. в профиле).

Вас заинтересует