• Предмет: Алгебра
  • Автор: akitorichan
  • Вопрос задан 3 года назад

50 БАЛЛОВ!!! ПОМОГИТЕ ПОЖАЛУЙСТА!!!!!!!!!

1 При каких значениях a система уравнений не имеет решений:
фото 1

А Таких значений не существует

Б -5

В 5

Г При каких-либо, кроме -5.

2 Сколько решений у системы уравнений:
фото 2

У системы 2 решения

У системы 1 решение

У системы бесконечное количество решений

У системы нет решений

4 Решите систему уравнений:
фото 3

(4;-3)

(-1;0,5)

(1;-0,5)

(1;0,5)
5 Запишите уравнение прямой y=kx+b, которая проходит через точки A(-2;-3) и B(1;6).

y=-3x+9

y=x+5

y=3x+3

y=-x+7
6 Решите уравнение x2+y2+10x-12y+61=0. Укажите наименьшее возможное значение выражения x0*x0 , где (x0;x0) – решение уравнения.

15

30

-30

-15
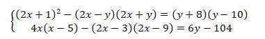
7 Решите систему уравнений. В ответе укажите сумму решений (х+у).
фото 4

Приложения:

Ответы

Ответ дал: lllnesulllbredlll
2

Ответ:

1. таких значения не существует

2.У системы бесконечное количество решений

3.(4;-3)

4.y=3x+3

5.-30

Вас заинтересует