• Предмет: Математика
  • Автор: malikvania333
  • Вопрос задан 3 года назад

Пж помогите умоляю плиз очень при очень срочно!!!

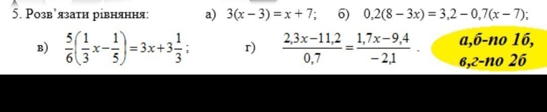
Приложения:

dddddkoll3: да вбей в приложение фотоматематика на телефоне, и не парсься, чё ж вы все тут такие тугодумы
malikvania333: (+_+)
malikvania333: Пж зделайте!!!!
dddddkoll3: та мне лень писать так много
malikvania333: Ну пж у меня фемили линк стоит я не могу скачать приложение
malikvania333: Пж зделайте кто нибудь
malikvania333: С объяснением
malikvania333: Пж зделайте
buxarik: Актуально?

Ответы

Ответ дал: buxarik
0
a=8 , b = 65 , B = -1,2 , г = 5
Вас заинтересует