• Предмет: Математика
  • Автор: Sezamusabekova
  • Вопрос задан 3 года назад

Помогите пожалуйста?

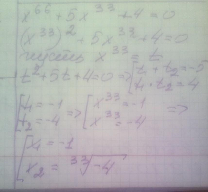
x ^ { 66 } + 5 x ^ { 33 } + 4 = 0

Ответы

Ответ дал: manyny06
0

Ответ:

решение смотри на фотографии

Приложения:
Вас заинтересует