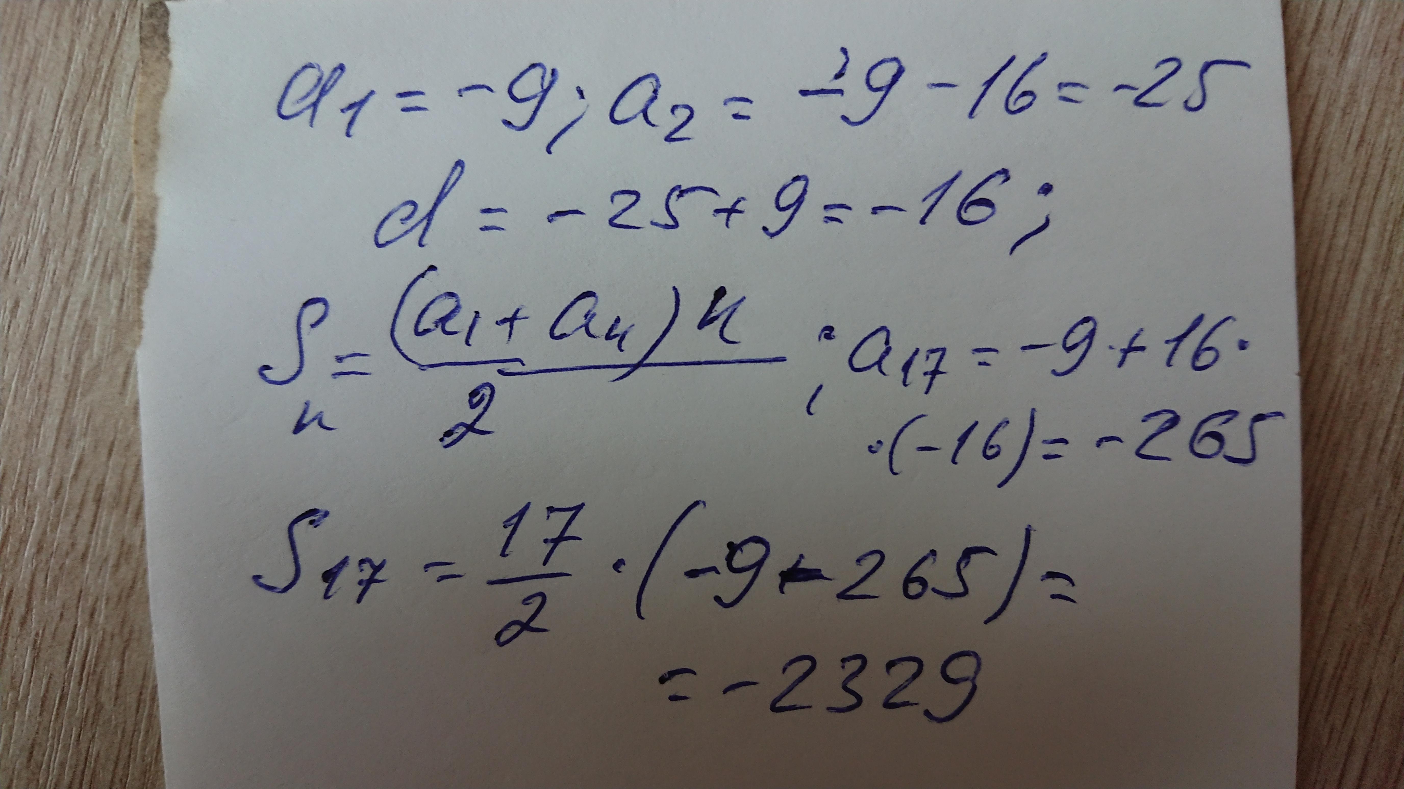
Арифметическая прогрессия задана условиями a1=−9 , an+1=an-16 . Найдите сумму первых 17 её членов.
Ответы
Ответ дал:
1
Ответ: -2329, см фото.
Объяснение:
Приложения:

Аноним:
Ой бляя харош
Вас заинтересует
2 года назад
2 года назад
2 года назад
8 лет назад
9 лет назад
9 лет назад