• Предмет: Математика
  • Автор: serjsvoi
  • Вопрос задан 3 года назад

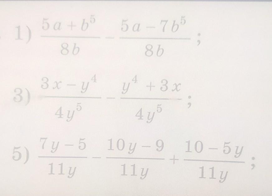
помогите напешите на листе​

Приложения:

Ответы

Ответ дал: ЗвездныйСвет
1

Ответ:

Пошаговое объяснение:

Там все расписано

Приложения:
Вас заинтересует