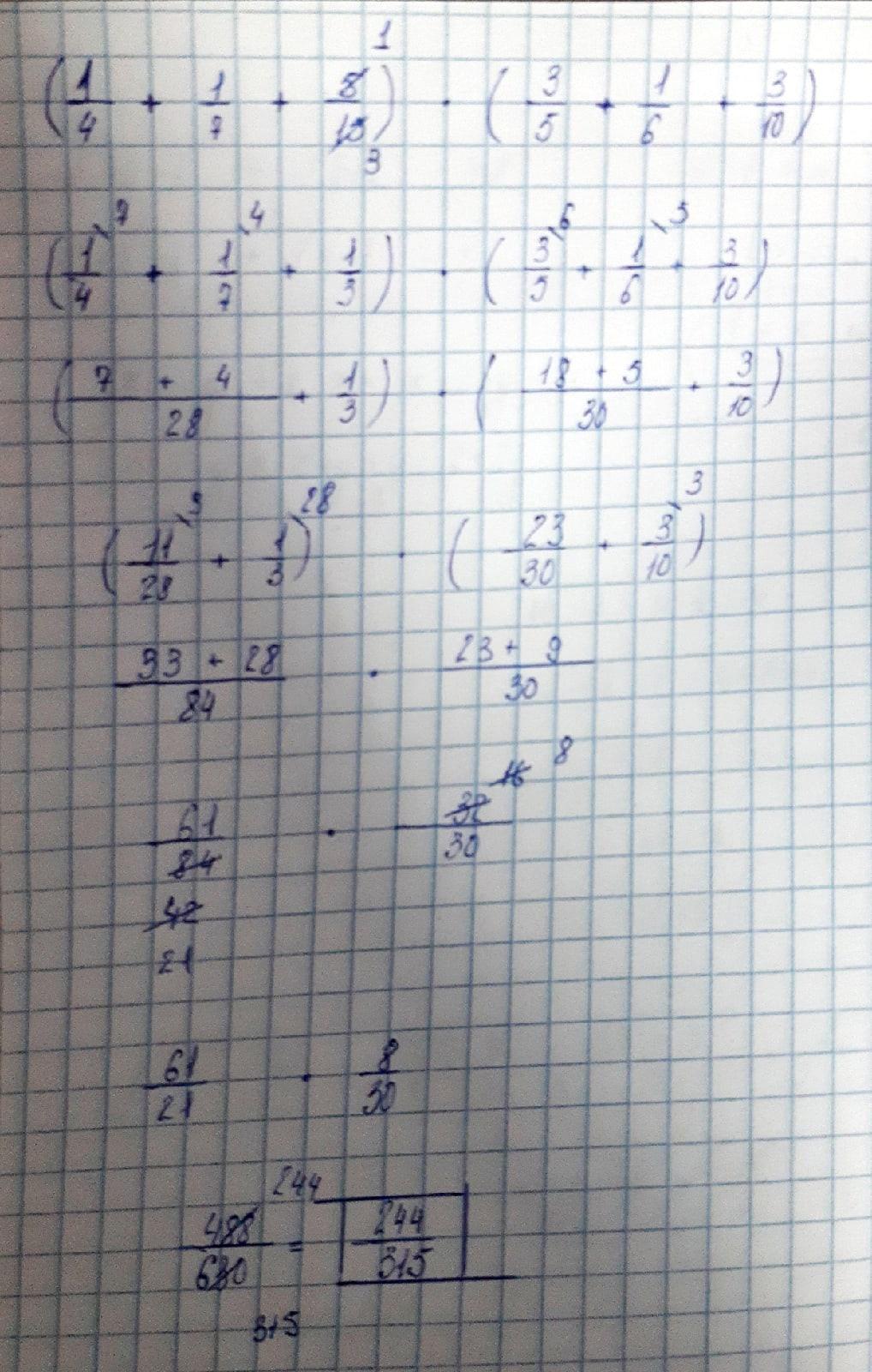
(1/4+1/7+5/15)*(3/5+1/6+3/10)=только по действиям
yekaterinagrigorenko:
1.1/4+1/7 2.+5/15. 3.3\5+1/6 4.+3/10 5.Умножить
Ответы
Ответ дал:
0
Ответ на закрепленном изображении
Приложения:

Вас заинтересует
2 года назад
2 года назад
8 лет назад
8 лет назад
9 лет назад
9 лет назад