• Предмет: Геометрия
  • Автор: life092
  • Вопрос задан 3 года назад

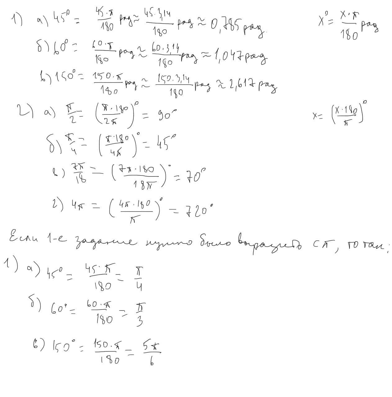
1)Найдите радианную велечину углов в: а) 45° ; б) 60° ; в) 150° .​
2)Найдите градусную величину угла,если его радианная мера равна: а)п/2 б)п/4 в)7п/18 г)4п/очень срочно пожалуйста желательно в тетраде. ​

Ответы

Ответ дал: Warlock1
3

Ответ:

вот так

Объяснение:

Приложения:

life092: Спасибо большое
Warlock1: нзч)
Вас заинтересует