Ответы
Ответ дал:
1
Ответ:
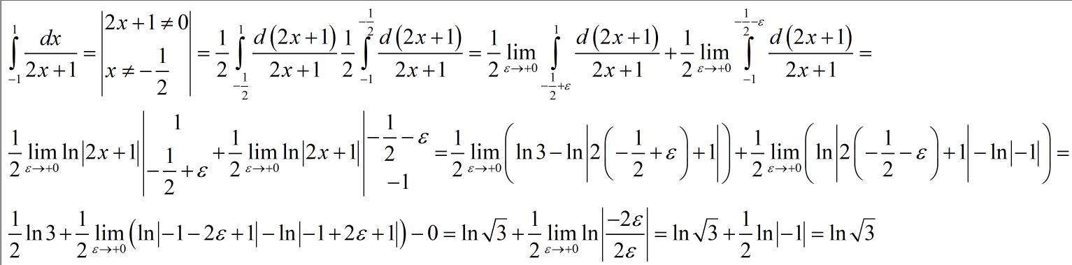
интеграл сходится
Пошаговое объяснение:
/////////////////////////////
Приложения:

Вас заинтересует
2 года назад
9 лет назад
9 лет назад