• Предмет: Математика
  • Автор: annbr
  • Вопрос задан 3 года назад

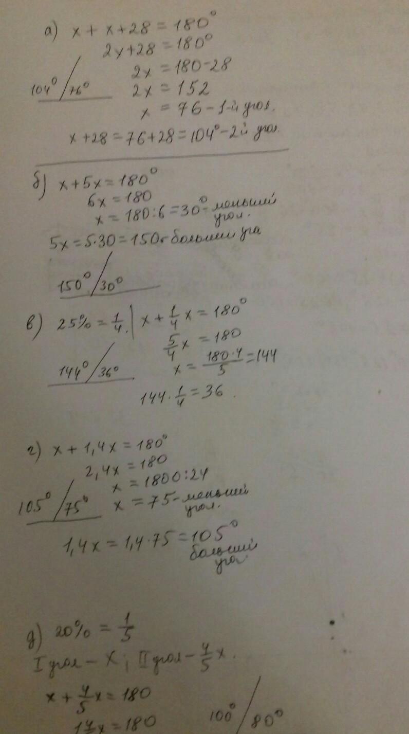
Побудуй за допомогою транспортира два суміжних кута, якщо один із
цих кутів:
а) на 28° більше за другий;
б) у 5 разів менше за другий;
в) складає 25% другого;
г) на 40% більше за другий;
д) на 20% менший за другий кут.
пожалуйста ​

Ответы

Ответ дал: TamillaAmirbeyova
0

Ответ:

.104...............................

Приложения:
Вас заинтересует