• Предмет: Математика
  • Автор: Alex67891
  • Вопрос задан 3 года назад

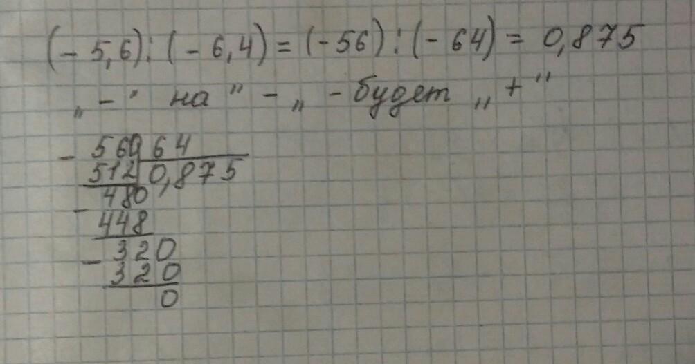
(-5,6) :(-6,4)
*ПОДРОБНО!!!*

Ответы

Ответ дал: wiktor1979
2

Понятней больше некуда.

Приложения:
Вас заинтересует