• Предмет: Математика
  • Автор: xosive4053
  • Вопрос задан 3 года назад

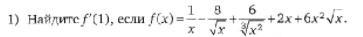
Найдите f'(1), если f(x)=1/x-8/\sqrt{x} +6/\sqrt[3]x^{2}+2x+6x^2\sqrt{x}

Приложения:

Ответы

Ответ дал: irayavorska
0

Ответ:

f'(x)= -1/√x³ -6x

f'(1/4)= -1/√(1/4)³- 6*1/4= -1/(1/8)- 3/2= -8-1.5= -9,5

Вас заинтересует