• Предмет: Физика
  • Автор: MilanaStar167
  • Вопрос задан 3 года назад

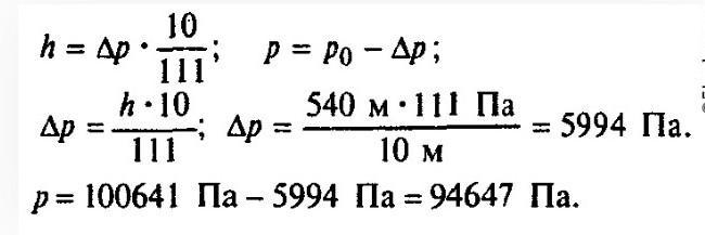
Каково показание барометра на уровне высоты Останкинской телебашни (540 м), если у поверхности земли нормальное атмосферное давление?
Физика 7 класс.

Ответы

Ответ дал: kamilazakiranova
1

Объяснение:

Азаззазазазаззазазаазазазазазазаэтоправильно

Приложения:
Ответ дал: MrFlyguy
2

Ответ:

715 мм рт. ст

Объяснение:

На высоте 12м давление уменьшается на 1 мм рт. ст.

На высоте 540 метров оно поднимется на 540/12=45 мм рт. ст.

Давление на уровне моря - 760 мм рт. ст.

Давление на высоте 540 метров - 760-45=715 мм рт. ст

Вас заинтересует