• Предмет: Алгебра
  • Автор: rina5530
  • Вопрос задан 3 года назад

СРОЧНО
решить систему способом подстановки
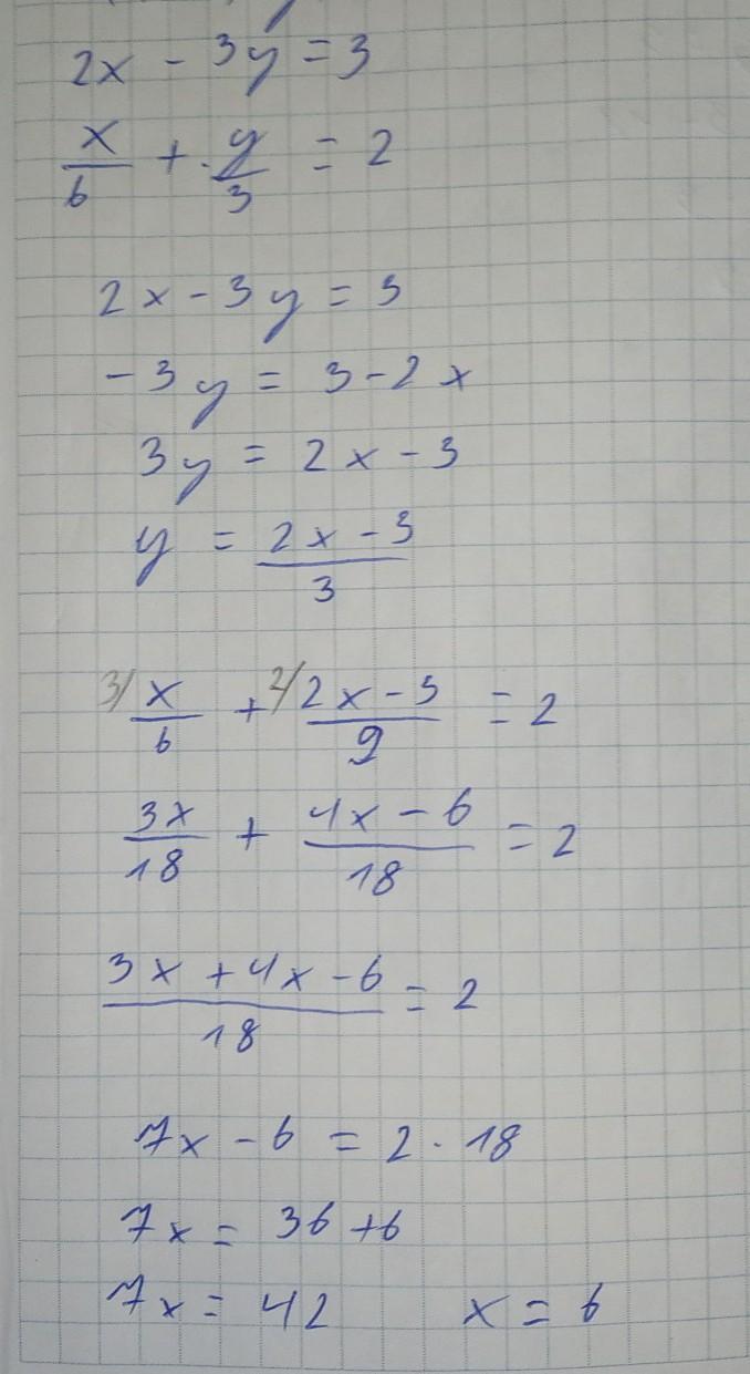
2х-3у=3
Х/6+у/3=2​

Ответы

Ответ дал: miskovbohdan07
1

Ответ:

(6;3)

Объяснение:

Ответ на фото. ....

Приложения:
Вас заинтересует