• Предмет: Алгебра
  • Автор: rina5530
  • Вопрос задан 3 года назад

СРОЧНО!
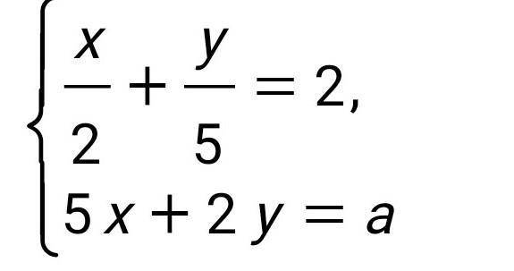
в каком смысле система не имеет решений

Приложения:

Ответы

Ответ дал: Аноним
1

Решение задания прилагаю

Приложения:
Вас заинтересует