Ответы
Ответ дал:
0
Ответ:
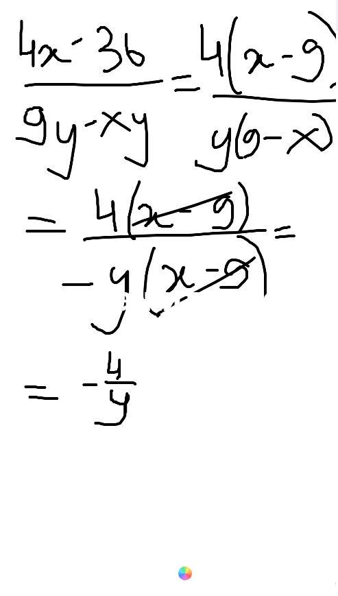
1) ответ -4/y (если что вот эта палка-/ означает дробь)
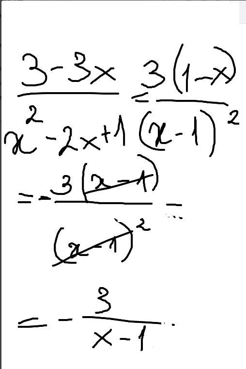
2) ответ -3/х-1
Объяснение:
Приложения:


Ответ дал:
1
Объяснение:
здесь используем в знаменателе формулу сокращённо умножения квадрат разности (а-b)^2=a^2-2ab+b^2 у нас дана правая часть, мы преобразовываем её в левую
Приложения:

Вас заинтересует
2 года назад
2 года назад
2 года назад
8 лет назад
8 лет назад