• Предмет: Математика
  • Автор: arisha160608
  • Вопрос задан 3 года назад

раскройте скобки и упростите выражение , помогите пожалуйста​

Приложения:

Ответы

Ответ дал: aiymjanabay2001
1

Ответ:

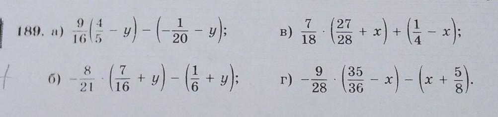
1. \frac{9}{16}(\frac{4}{5}-y)-(-\frac{1}{20}-y)=\frac{9}{16}*\frac{4}{5}-\frac{9}{16}y+\frac{1}{20}+y=\frac{9}{20}-\frac{9}{16}y+\frac{1}{20}+y=\frac{7}{16}y+\frac{1}{2}

2. -\frac{8}{21}(\frac{7}{16}+y)-(\frac{1}{6}+y)=-\frac{8}{21}*\frac{7}{16}-\frac{8}{21}y-\frac{1}{6}-y=-\frac{1}{6}-\frac{8}{21}y-\frac{1}{6}-y=-1\frac{8}{21}y-\frac{1}{3}

3. \frac{7}{18}(\frac{27}{28}+x)+(\frac{1}{4}-x)=\frac{7}{18}*\frac{27}{28}+\frac{7}{18}x+\frac{1}{4}-x=\frac{3}{8}+\frac{7}{18}x+\frac{1}{4}-x=-\frac{11}{18}x+\frac{5}{8}

4. -\frac{9}{28}(\frac{35}{36}-x)-(x+\frac{5}{8})=-\frac{9}{28}*\frac{35}{36}+\frac{9}{28}x-x-\frac{5}{8}=-\frac{5}{16}+\frac{9}{28}x-x-\frac{5}{8}=-\frac{19}{28}x-\frac{15}{16}

Пошаговое объяснение:

Вас заинтересует