• Предмет: Математика
  • Автор: arisha160608
  • Вопрос задан 3 года назад

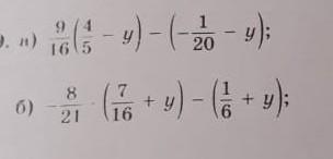
раскройте скобки и упростите выражение , помогите пожалуйста​

Приложения:

Ответы

Ответ дал: latysevaaleksandra18
0

Ответ:

скачай photomath ...................................

Вас заинтересует