• Предмет: Алгебра
  • Автор: yantuzovayasmina
  • Вопрос задан 3 года назад

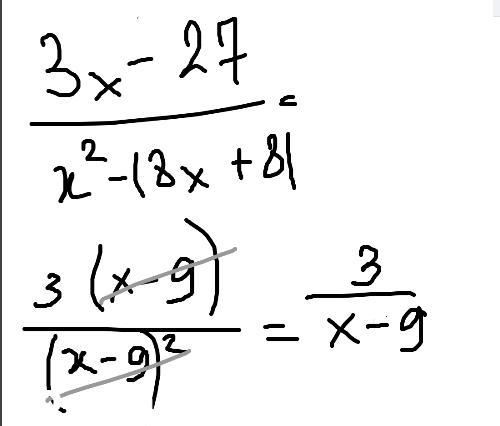
Сокроти дробь 3x-27/x²-18x+81​

Ответы

Ответ дал: nkaliy28ya
2

Ответ:

смотрите ниже:

Приложения:
Вас заинтересует