• Предмет: Алгебра
  • Автор: nadezdapredeina11
  • Вопрос задан 3 года назад

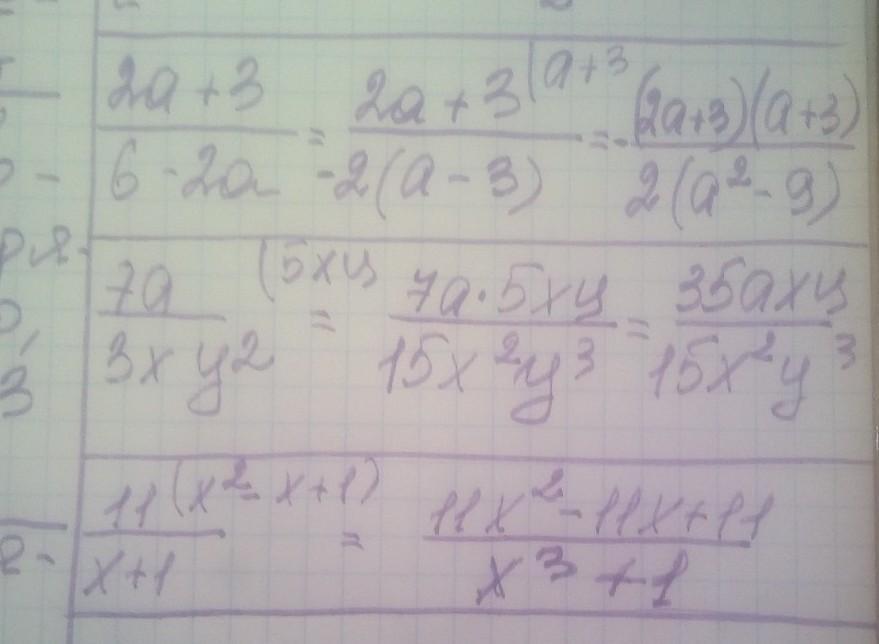
Приведите алгебраическую дробь: помогите пожалуйста

Приложения:

Ответы

Ответ дал: manyny06
2

Ответ:

решение смотри на фотографии

Приложения:
Вас заинтересует