• Предмет: Математика
  • Автор: rusalkagirl2008
  • Вопрос задан 3 года назад

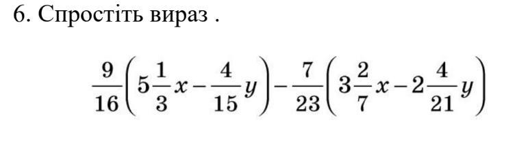
Помогите пожалуйста. Математика 6 класс

Приложения:

Ответы

Ответ дал: yaadayyn
1
вот решение, выше сам пример
Приложения:
Вас заинтересует